Oh boy! We’ve had a lot of doozies against the idiots over at the Coeur D Alene Police Department, but this one is as juicy as it gets. And as idiotic as it gets. And that’s just the start – it doesn’t just involve our Brothers in Blue over at One PP, it also involves our friends over at the Coeur D Alene School District, you know the ones who thought it was a good idea to put the people who shoot suicidal people on the suicide prevention team?
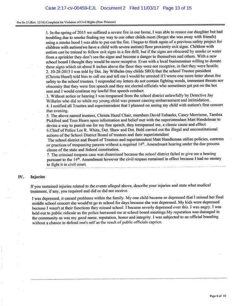
OK – let me try and summarize this lawsuit the best I can. The father of an autistic child who goes to Lakes Middle School has a fire in his home. He’s able to rescue his children, but naturally this terrible incident gets him thinking about fire safety. He does some studying and finds that children with autism, and frankly probably all of us, have a better chance of escaping a fire with lighted signs or markers that are near the ground. Think of an airplane. This proactive father pitches the idea of installing these signs at CDA Schools. He even goes to the extent of finding a community member who will install the lighting and signs for free.
Wow! This seems like a Coeur D Alene Press feel good article of the year, right? Enter Christa Hazel. You know, your favorite “Commonsense Conservative” and now former school board member? You know, the one who plans to run for state office in 2020? Well Christa has a big FUCK YOU for this fire safety hero. She’ll have none of it. Christa gets so tired of this guy’s letters that she has him trespassed from the school district. No school board meetings, no kid recitals, no parent teacher conferences – None of it. Wowzer! Christa might as well be Mario Rios Jr for violating so many first amendment rights in one fell swoop.
But it doesn’t end there. Christa is pissed!!! You don’t fuck with a white Republican woman and get away with it. She gathers her gang of five – Dave Eubanks, Tom Hearn, Tambra Pickford, Casey Morrisroe, and Matt Handelman. Together, they have their personal bodyguard, Jay Wilhelm, take this dad of a special needs child down. (Oh yeah, I forgot to mention that Jay isn’t actually a personal bodyguard, but just a CDA Police Officer in a costume who doubles as a School Resource Officer. Today, he still falsely advertises himself as an SRO even though he’s no longer in the job.) Jay arrests this father and bans him from his children’s’ schools FOREVER. He begs the District to let him see his daughter’s concert, and they bend as much as Donald Trump’s border wall. None, Notta, Zilch. Christa Hazel shows how tough she is again. “No Kids Concert for you,” says the Soup Nazi, I mean Christa.
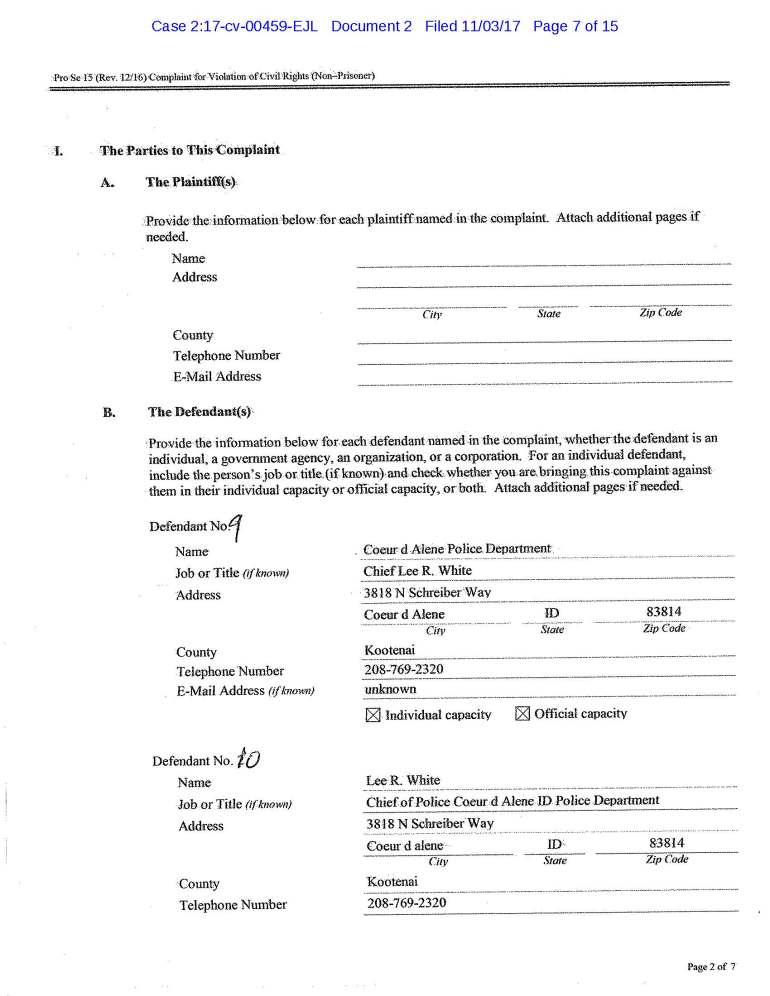
When this Dad went to Chief Lee White of the CDAPD and asked him to investigate officer misconduct, Lee said he wouldn’t look into it. You know, the thin blue line and all. Well Lee and the high horse idiots over at CDA Schools and CDAPD are listening now. This scrappy father has taken it upon himself to navigate the federal court system without a lawyer and hold these goons accountable. Here Here sir!
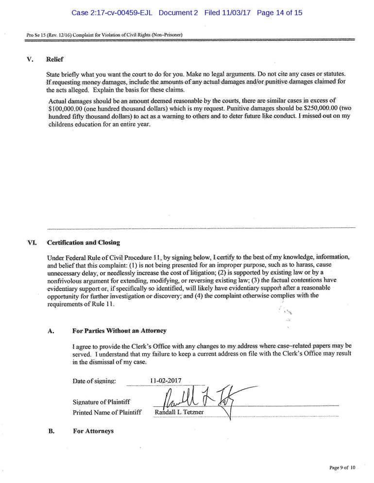
It kind of reminds me of this scene in Good Will Hunting. He might not prevail, but we’ll all be rooting for you.
Oh yeah!!! I almost forgot. In one final irony. Jay Wilhelm, you know, Christa Hazel’s private lackey who arrested the guy who wanted to prevent fires? He got an award from the Coeur D Alene Fire Department. Let me say that again – The guy who arrested the guy who wanted to give the school district a proven, and free, fire alert system was given an award by the CDA Fire Department. Even Hollywood couldn’t make this shit up!
